×
首页 首页 IT数码 智能和AI 查看内容
发表文章
分享

摩尔线程携手智源 FlagOS,为 MTT S5000 GPU 完成 DeepSeek-V4 模型 Day-0 适配 ...

发布者: IT007编辑02| 2026-4-24 17:41| 查看: 127| 评论: 0|原作者: 潞源|来自: IT之家

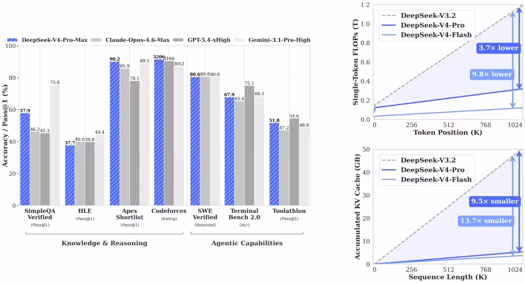
摘要: 4 月 24 日消息,摩尔线程今天携手智源 FlagOS,为旗舰级 AI 训推一体全功能 GPU MTT S5000 完成 DeepSeek-V4-Flash 模型 Day-0 适配。据介绍,DeepSeek-V4-Flash 模型采用混合专家(MoE)架构,总参数量达 284B,激 ...
 

4 月 24 日消息,摩尔线程今天携手智源 FlagOS,为旗舰级 AI 训推一体全功能 GPU MTT S5000 完成 DeepSeek-V4-Flash 模型 Day-0 适配



据介绍,DeepSeek-V4-Flash 模型采用混合专家(MoE)架构,总参数量达 284B,激活参数 13B,支持百万 token(词元)上下文长度。预训练数据超 32Ttoken,在最大推理力度模式(Flash-Max)下推理能力逼近 Pro 版本


值得注意的是,DeepSeek-V4 模型首次采用了“FP4+FP8”混合精度策略,而国内当前主流 AI 芯片仍普遍以 BF16 为主。摩尔线程凭借原生 FP8 支持能力,可更高效承载 DeepSeek-V4 的前沿精度设计。



同时,MTT S5000 GPU 内置硬件级 FP8 Tensor Core 加速单元,相比传统 BF16/FP16 能将数据位宽直接减半,显存带宽压力降低 50%,理论计算吞吐量实现翻倍


为充分发挥 MTT S5000 的 FP8 优势,FlagOS 团队为 DeepSeek-V4 模型进行 FP8 量化。通过系统级分析,双方技术团队将本次适配的攻坚重点锁定在 FP8 算子与 Sparse Attention 算子,在“编译优化”与“自动调优”两大方向取得重大突破



综合此前报道,摩尔线程已多次 Day-0 即时适配国产大模型,涵盖 MiniMax M2.7、智谱 GLM-5 等

最新评论(0)